








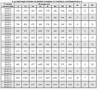
Калорифер биметаллический КСк2-9
Поставка оборудования и станков из России без посредников. Все виды расчета Наши склады находятся в Челябинске, Екатеринбурге, Новосибирске и Москве. Доставка в Казахстан осуществляется транспортными компаниями Jet Logistic и КИТ. Калориферы имеют теплоотдающие трубки, внутренняя трубка Dн16 x (1,5-2,8) мм, наружная-алюминиевая с накатным на ней оребрением. Ребро накатывается с шагом 2,8 (3,5) мм. В процессе накатки между стальной и алюминиевой трубками образуется надежный механический и термический контакт.КСк2 – два ряда трубок;КСк3 – три ряда трубок;КСк4 – четыре ряда трубок.Теплоноситель – вода. Калориферы предназначены для нагрева воздуха с предельно допустимым содержанием химически агрессивных веществ по ГОСТ 12.1.005-88, с запыленностью не более 0,5 мг/м3 и не содержащего липких веществ и волокнистых материалов, в системах воздушного отопления и в сушильных установках.Рабочее давление теплоносителя должно быть не более 1,2 МПа, температура не выше + 180 С.




